facebook statistieken bekend gemaakt

Facebook statistieken bekend gemaakt

Social Media04 jan 2010, 18:13doorRedactie Dutchcowboys
facebook-statistieken-bekend-gemaakt.jpg
facebook-statistieken-bekend-gemaakt.jpg
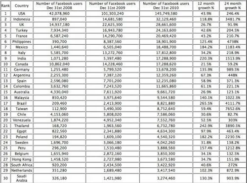
Het afgelopen jaar is Facebook weer flink gegroeid met als snelst groeiende markt nu Azie. Verder is er een sterke groei te zien in Mexico, Oost-Europa, Brazilie en India. Maar kan Facebook zo blijven groeien in 2011?
Rusland, nummer 31 van de lijst heeft de laatste 2 jaar een groei op laten tekenen van +2519% met nu zo'n 3,2 miljoen Facebook gebruikers. Onderstaande tabel laat de top 30 landen zien met de meest actieve Facebook gebriukers.
Nederland is terug te vinden op de 29e plek. Ten opzichte van 2009 is het aantal facebook gebruikers in Nederland met 102,3% gestegen. Van 1.689.480 gebruikers naar 3.417.540 gebruikers nu. Ten opzichte van 2008 is het aantal Nederlandse gebruikers zelfs met 872,9% gestegen. Zo blijkt uit cijfers van Nick Burcher.
-1025.jpg
-1025.jpg
Deel dit bericht

Loading